diyundso.de
Einschaltstrombegrenzung mit Relais
Funktionsweise der Schaltung

Im Wesentlichen wird ein Relais verzögert geschaltet, das einen Widerstand kurzschließt, der zunächst in Serie zur Last lag. Somit wird der Strom aus dem Netz auf einen maximalen Effektivwert von 230V/R begrenzt.
Zur Dimensionierung des Kondensators C1
Bei Relais-Widerstand und Kondensator handelt es sich um einen Spannngsteiler aus imaginärem Widerstand des Kondensators und dem reellen Widerstand des Relais.
Die Teilspannung über dem Relais wird gleichgerichtet.
Bis hierhin lässt sich das System als eine Spannungsquelle mit großem Innenwiderstand sehen. Der Kondensator C2 am Ausgang wirkt nun also zusammen mit dem Innenwiderstand der Quelle als Tiefpass. Die Ausgangsspannung am Kondensator ist also Gleichrichtwert der bisherigen Berechnungen.
Ferner fallen an den Gleichrichterdioden noch etwa 2x 0.8V als Vorwärtsspannung ab. Diese Rechnung ist natürlich nur überschlägig. In der Praxis kann man den Kondensator ein kleinwenig größer dimensionieren und die Spannung am Relais mit einer Zenerdiode begrenzen.
Die Herleitung der Formel zur Berechnung der nötigen Kapazität findet sich unterhalb:
Einstellen der Einschaltverzögerung
Vereinfacht lässt sich die gesamte Anordnung, zusammen mit der Kapazität C
2, als ein Gleichspannungs-Spannungsteiler sehen dessen Teilspannung am Relais der oben errechneten entspricht. Wir erhalten also eine Ersatzspannungsquelle mit der Innenimpedanz von R
Relais||Z
C1. Die Leerlaufspannung betägt wie bereits erwähnt U
Relais.
Mit dieser Ersatzspannungsquelle wird der Kondensator C
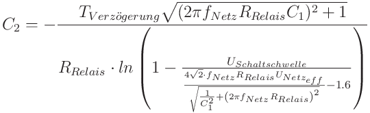
2 geladen. Beim Erreichen der Schaltschwelle des Relais (siehe Datenblatt Hersteller, oder nachmessen) schaltet das Relais. Die Formel zur Dimensionierung von C
2 berechnet sich dann mit Hilfe einer DGL.
Achtung: Diese Formel gilt natürlich nur, wenn C1 entsprechend der berechneten Größe gewählt wurde.
Für den Fall dass beim Kondensatorwert aufgerundet (=Zenerdiode!) wurde, muss diese Formel verwendet werden:

Da die Formel etwas unhandlich ist, kann der Wert von C
2 hier berechnet werden. Auf plausibilität wird nicht(!) geprüft