diyundso.de

Formel für Laplacetransformation für Differentialgleichungen bis zur dritten Ordnung

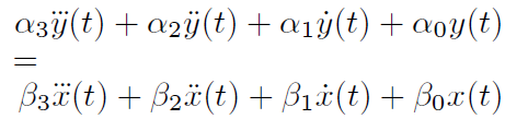
Die Gleichung muss in folgender Form vorliegen: Form der DGL


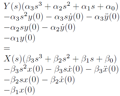
Die Transformation in den Laplace-Bereich ergibt unter Berücksichtigung der Anfangsbedingungen für den internen und externen Anteil:

Y(s) entspricht dem Ausgangssignal, X(s) entspricht dem Eingangssignal des Systems


Formel Laplace-Transformation höherer Ordnung

Die Formel lässt sich, wie man sieht, für die Laplace-Transformation 3. Ordnung anwenden. Beim Anwenden auf DGL niedrigerer Ordnungen sind die entsprechenden Koeffizienten null zu setzen.
Impressum

Valid HTML 4.01 Transitional